随着信息技术在各个高校的应用与发展,学校建设了不少的应用系统,如教务系统、一卡通系统、数字图书馆等,这些系统由于前期缺乏统一的指导和科学有效的规划,全校的信息化建设都是各自为政,教务、办公、财务等建立的信息管理系统,由于采用的软件系统不一致,数据标准不一致导致出现了不少的问题,这些问题中尤其突出的是“信息孤岛”,很难在不同的应用系统中实现共享,缺乏统一的应用平台,仅仅依靠传统的WWW、电子邮件等服务远不能满足未来学校知识库、评估系统等深层次增值服务的需求。因此,实现数据共享成为建设数字校园的关键需求。
实现数据共享有多种手段,其中像Web Service 可以实现异构应用系统之间的数据交换问题,通过实现Web Serivce 技术标准规范,可以在异构平台上实现数据交换。目前公认的做法是将通过对各个业务部门进行调研,分析业务部门的数据需求与供给,将大部分业务部门必需的数据进行大集中管理,建立公共的数据共享平台,这样不仅可以实现数据的共享,减少对旧有系统的改动,实现快速实施和逐步推进数字化校园建设的目的。
本文介绍了CDC 技术以及几种实现方式,并通过西北农林科技大学数字化校园一期和二期的实施情况,结合CDC 技术提出了适合数字校园的身份数据同步方案。
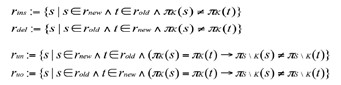
变更数据
定义:对于关系R,当前状态rnew,前一状态rold , 属性集主键属性集合,变更数据是以下四种元组,其中rins 插入数据集,rdel 删除数据集,run 更新当前状态新增的数据集,ruo 更新前一状态的数据集。

CDC 技术简介
CDC(Change Data Capture)是通过监控数据源的操作达到检测和捕获数据变更的一种技术,CDC 在数据仓库维护中有特别的重要性,用于捕获业务数据库中数据的变更,如新增、修改、删除等,可以实现在报表数据库、数据仓库、B I 数据库等企业数据库的更新同步提供增量的数据抽取服务。CDC 技术大致应用到下面三个主要的方法,即基于日志的CDC、审核列和快照差异计算。